首页
协会介绍
协会动态
企业评估
职业鉴定
会员专区
会员动态
行业动态
物流统计
下载中心
协会会刊
关于我们
联系我们
首页
协会介绍
协会动态
企业评估
职业鉴定
会员专区
会员动态
行业动态
物流统计
下载中心
协会会刊
关于我们
联系我们
活动报名专区
首页
职业鉴定
通知公告
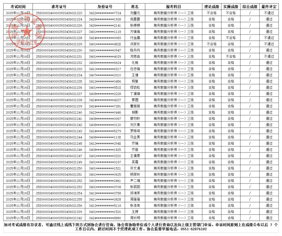
关于公布2025年11月16日商务数据分析师三级考试成绩公示
发布时间:2025/11/21 访问人数:445次